产品服务

Services

多肽系列原料药保护氨基酸双功能分子抗体偶联药物连接剂双功能分子连接剂 CMO/ CDMO医药中间体
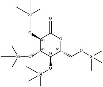
2,3,4,6-四-O-三甲基硅基-D-葡萄糖酸内酯
产品名称: 2,3,4,6-四-O-三甲基硅基-D-葡萄糖酸内酯
英文名称: 2,3,4,6-Tetrakis-O-trimethylsilyl-D-gluconolactone
CAS编号: 32384-65-9
适应症:
分子量: 466.87
分子式: C18H42O6Si4
结构式: 2,3,4,6-四-O-三甲基硅基-D-葡萄糖酸内酯
返回